Configurateur DT
Principe des Nomenclatures Génériques
Schéma de définition général

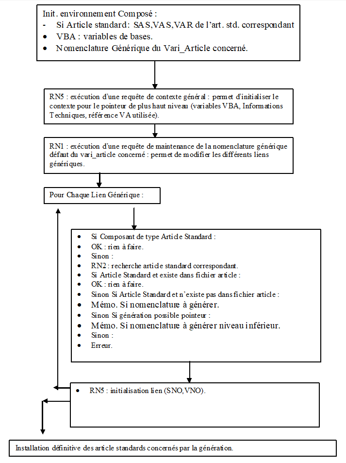
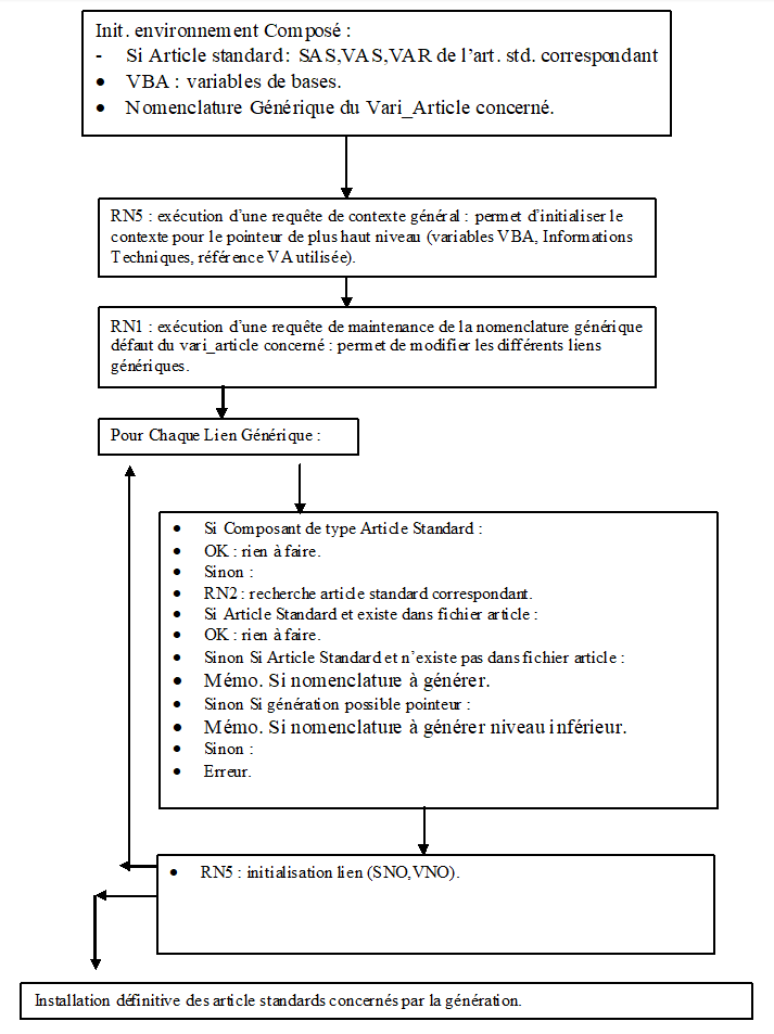
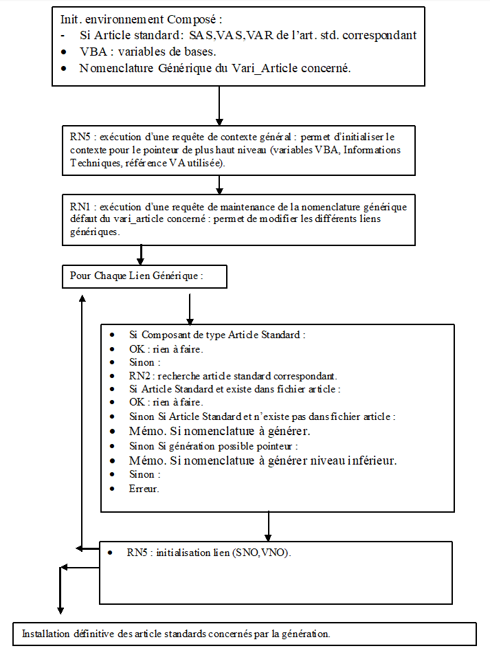
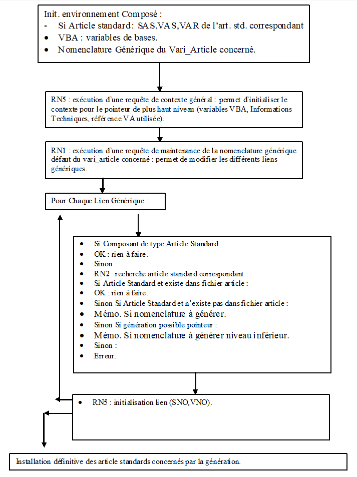
Organigramme explicatif

Règles et Définitions
Le composé est toujours un vari-article fabriqué ou sous-traité.
Une requête de type RN1 Maintenance Nomenclature Générique permet de piloter le contenu de la nomenclature générique du vari-article composé (ajout, suppression, modification de liens génériques) au moment de la génération de la nomenclature de définition des produits standards associés au vari-article.
Les composants génériques du vari-article peuvent être :
Un article standard référencé dans le fichier des articles,
Un vari-article existant dans le fichier des vari-articles,
Une information quelconque (similaire à un pointeur).
Le composant généré est un article standard. Le choix de l’article standard peut être réalisé à partir du nouveau type de requête RN2 Init. Art.Std. Lien de Nomenclature (initialisation articles standards – lien de nomenclature).
Les informations du lien (variables liens SNO et VNO) sont définies par défaut et peuvent être initialisées par macro langage à partir du type de requête RN5 Init. Lien de Nomenclature Générée (initialisation du lien de nomenclature générée).
La présence ou non du lien dans la nomenclature générée est paramétrable (requête).
Les règles de génération de nomenclature pour un composé sont les suivantes :
1. Exécution de la requête RN5 de contexte général (si définie) : Permet d’initialiser un contexte général de variables de bases (VBA) pour les articles standards ou les articles sur-mesure, d’initialiser des informations techniques sur le pointeur de niveau le plus . . haut, d’initialiser un vari-article de génération de nomenclature différent du vari-article de départ : cette initialisation est possible via l’initialisation dans la requête d’une variable de type partagée (VBP) dont le nom est GenRefVAArt et dont la valeur contient la référence du nouveau vari-article correspondant à la nomenclature à considérer pour la génération du premier niveau exclusivement.
2. Exécution de la requête RN1 (si définie) : permet de définir la structure de la nomenclature générique : la nomenclature générique définie pour le vari-article correspondant est modifiable (création de lien générique, modification de lien générique, suppression de lien générique) ; les variables standards du lien générique (variables SNI) sont initialisables.
Rappel : variables visibles : VBA,SDI,SNI,SAS,VAS,VAR,SCR,VBP
Rappel : variables initialisables : VBA,VBP,SNI.
3. Pour chaque lien générique issu de l’étape précédente :
Exécution de la requête RN2 : cette requête permet d’initialiser les variables standards du lien de nomenclature (cette règle a été insérée initialement dans le but est d’initialiser à ce stade l’article standard éventuel composant le lien, de manière à disposer du contexte du composé et du composant dans la requête RN5 enchaînée par la suite). Seules les variables standards de nomenclature de définition d’article standard (SNO) sont manipulables.
Rappel : variables visibles : SNO, VNO, VBA, VBP, SAS, VAS, VAR,SCR,SDI
Rappel : variables initialisables : SNO, VNO, VBA, VBP.
Exécution de la requête RN5 : cette requête permet d’initialiser tout le contexte du lien de nomenclature de définition : les informations standards (SNO), spécifiques (VNO), contextuelles (VBA,VBP) et les informations techniques (SIT : voir ci-dessous le principe).
Rappel : variables visibles : SNO, VNO, VBA, VBP, SAS, VAS, VAR, SCR, SNS, VNS, VNR, SDI, SIT
Rappel : variables initialisables : SNO, VNO, VBA, VBP, SIT.
Contrôle d’intégrité (dépend si génération pour un article standard ou un article à la commande).
C’est donc dans la requête RN5 que les informations techniques vont pouvoir être pilotées.
Les informations techniques sur un lien de nomenclature correspondent à une structure banalisée de stockage de données quelconques : le but est de stocker dans cette structure des informations qui seront utiles uniquement pour des documents ou utilisées que très rarement (exemple : les codes programmes d’usinages). La structure de stockage des informations techniques d’un lien de nomenclature se présente sous la forme d’un tableau à 4 éléments (les variables SIT : variables de définition d’une information technique) :
Type d’information technique (variable SIT.di-t-type, alphanumérique) : par exemple, sert à classer avec un niveau de famille toutes les informations techniques du lien.
Sous-type d’information technique (variable SIT.di-t-sstype, alphanumérique) : par exemple, sert à classer avec un niveau de sous-famille toutes les informations techniques du lien.
Code ou Référence d’information technique (variable SIT.di-t-code, alphanumérique) : par exemple, sert à identifier l’information technique du lien.
Valeur d’information technique (variable SIT.di-t-valeur, alphanumérique) : valeur de l’information technique sur le lien.
Exemple :
Type | Sous-Type | Code ou Référence | Valeur |
SIT.di-t-type | SIT.di-t-sstype | SIT.di-t-code | SIT.di-t-valeur |
USINAGE | TYPE | TYPE | 90° |
USINAGE | CODE | HAUT | 4367 |
USINAGE | CODE | DROIT | 4360 |
USINAGE | CODE | BAS | 4367 |
USINAGE | CODE | GAUCHE | 4360 |
USINAGE | CODE | ROBOT | H4367D4360B4367G4360 |
IDENTIFIANT | GESTION | REF | PIECE |
IDENTIFIANT | TECHNIQUE | REF | PIECE_USINEE |
… |
Le principe de maintenance est basé sur les approches contextuelles des listes de Diapason avec l’utilisation de 3 mots clés (création, suppression, parcours) et la manipulation du contenu par variables (type SIT) :
PC Info. Technique : mot clé permettant de parcourir la liste des informations techniques disponible au moment de l’exécution de la requête ; ouvre un niveau de bloc itératif (autant qu’il y a d’informations techniques) : lors de chaque itération, les SIT sont initialisées avec les valeurs connues au démarrage de l’initialisation ; dans le bloc, les variables SIT décrivant l’information technique peuvent être mises à jour (utilisation pour cela de l’instruction Init Variable) ; dans le bloc, l’information technique courante de l’itération peut être supprimée (voir mot clé ci-dessous Sup. Inf. Technique).
Remarque : avant d’exécuter la requête, la liste des informations techniques est initialisée avec les informations techniques du lien générique.Cre. Inf. Technique : mot clé permettant de créer une nouvelle information technique : ouvre un niveau de bloc, dans lequel les variables SIT décrites ci-dessus sont initialisables pour être mémorisées en fin de bloc (utilisation pour cela de l’instruction Init Variable) .
Sup. Inf. Technique : mot clé permettant de supprimer l’information technique courante : ce mot clé ne peut être utilisé que dans un bloc PC Info. Technique.
Remarque : en fin d’exécution de requête, toutes les informations techniques dont les caractéristiques sont vides (les 4 variables SIT) ne sont pas considérées comme information technique.
Nomenclatures Génériques
Accès aux nomenclatures génériques
La gestion des nomenclatures génériques est accessible dans l’explorateur applicatif des nomenclatures.

Cette application présente la liste des vari-articles.

Vari-Article
Référence du Vari-Article.
N ?
Indique si des liens de nomenclature générique sont définis pour ce Vari-Article.
Désignation
Désignation du Vari-Article.
Liens
Liste des références des liens de génération et maintenance des Articles Standards par Vari-Article.
E
Etat du Vari-Article : « V »alide, « S »upprimé logiquement.
Actions possibles :
Sur cette application, les actions possibles sont :
Accès Liens Génériques
Permet d’accéder à la définition des liens pour le vari-article. Toutes les informations (hormis les variables spécifiques) sont obligatoires.

Onglet « Desc. Lien (1) »

Réf. Lien
Référence Lien.
Type Composant
Les types de composant possibles sont :
Type | Description |
R | Article Standard |
VAD | Vari-Article |
INFO | Information |
Composant
Référence composant. Contrôlé pour les types « R » et « VAD ».
Lien Art.
Lien Vari-Article / Article.
Qté Lien
Quantité de composant
Unité Lien
Unité de mesure de la quantité de composant
Qté Composé
Quantité de composé
Unité Composé
Unité de mesure de la quantité de composé
% Rebut
Coefficient de perte moyen pour le lien. Exemple : Il faut 2 composants en théorie, la pratique montre qu'il y a 10% de perte. Il faut donc 2,2 composants en moyenne. On peut renseigner un lien de 2,2 ou mettre un lien de 2 et un Rebut de 10%. Cela permet de mieux distinguer la perte.
Cycle
Durée du cycle de fabrication. Décalage de la consommation de composant par rapport à la date de début d’étape.
Etape
Etape de gamme rattachée. Information à reprendre sur la nomenclature de gestion dans le but d'affecter une consommation de composant a une étape de gamme (prise en compte des cycles étapes : le besoin en composants est affecté à la date planifiée de l'étape. Si rien de renseigné au niveau de la nomenclature de gestion tous les besoins composants sont planifiés en début de fabrication.
Fam. Reg. Gamme
Famille de regroupement Composant-Gamme.
Infos Techniques
Bouton permettant la définition des informations techniques dans un tableur de saisie :

Onglet « Desc. Lien (2) »

Type Val.
Type de Validité de Lien. Les valeurs possibles sont :
Type | Description |
0 | Pas de Gestion de Validité |
1 | Par Date de Validité Déclarée |
Début Val.
Date de début de validité du lien. Nécessaire si type de validité = « 1 ».
Fin Val.
Date de fin de validité du lien. Nécessaire si type de validité = « 1 ».
Type Lien
Paramètre utilisateur d’entité « NOM-DEF » et groupe « TY-LIEN ».
Réf. Génér.
Paramètre utilisateur d’entité « NOM-DEF » et groupe « REF-LIEN ».
Ind. Lien
Indice de Lien.
Règ.Uti.Planif.
Provision technique.
Règ. Uti. Lct
Provision technique.
Date Création, Heure Création, Util. Créat., Date Modif., Heure Modif., Util. Modif.
Zones classiques de traçabilité.
Onglet « Desc. Règles »

Existence/Déf.
Existence par défaut du lien lors de la génération.
Init. Ctx. Dem. (RN5)
Requête RN5 générale d’initialisation des liens. Diapason débute la génération d’une nomenclature de pointeurs Diapason par l’exécution de cette requête de type RN5 permettant :
d’initialiser un contexte complémentaire de variables de bases (VBA) pour les articles standards ou les articles sur-mesure.
d’initialiser des informations techniques sur le pointeur de niveau le plus haut.
d’initialiser un vari-article de génération de nomenclature différant du vari-article de départ : cette initialisation est possible via l’initialisation dans la requête d’une variable de type partagée (VBP) dont le nom est GenRefVAArt et dont la valeur contient la référence du nouveau vari-article correspondant à la nomenclature à considérer pour la génération du premier niveau exclusivement.
Avant l’exécution de la requête RN5, un contexte de génération est positionné avec les variables suivantes :
Variable | Description |
SCR.ArtGenEvt | contient la valeur « GNI » (remarque : dans le cas d’une génération de niveau inférieur, la valeur est « GNC ») |
SCR.NomTyp | contient le type de nomenclature en cours de génération (utilisé pour les articles standards) |
SCR.GenRefVaArt | contient la référence du vari-article en cours de génération |
SCR.GenRefTypeArt | contient « LC » s’il s’agit d’une ligne de commande commerciale ou « R » s’il s’agit d’un article standard |
SCR.CdeNumCom | contient le numéro de commande commerciale (s’il s’agit d’une ligne de commande commerciale) |
SCR.CdeNumLig | contient le numéro de ligne de commande commerciale (s’il s’agit d’une ligne de commande commerciale) |
SCR.GenRefArt | contient la référence article standard (s’il s’agit d’un article standard) |
Après exécution de la requête RN5, le traitement suivant est effectué par Diapason :
Le contexte du pointeur de niveau le plus haut est mis à jour avec les variables de type VBA initialisées dans cette requête.
Les informations techniques du pointeur de niveau le plus haut sont mises à jour avec les initialisations effectuées dans la requête RN5.
Si la variable VBP.GenRegVaArt est initialisée et correspond à un vari-article Diapason, Diapason le considère comme le vari-article à utiliser pour rechercher et exécuter la nomenclature générique de premier niveau.
Notes :
Concerne les articles standards et les articles sur-mesure dont la nomenclature de pointeur est générée par le configurateur Diapason.
Seule la requête d’initialisation de contexte de démarrage sur le niveau 0 est exécutée, uniquement pour le vari-article de départ, lors d’une génération multi-niveaux.
Les évolutions complémentaires suivantes ont été effectuées :
La variable VBA.di-niveau est initialisée avant l’exécution des requêtes et donc visible dans toutes les requêtes RN1 et RN5.
Lors de l’exécution d’une RN5, les variables SNO.GenRefTypeCse et SNO.GenRefCse identifiaient auparavant la référence article de niveau le plus haut ; cette information est contenue dans les variables SCR (SCR.GenRefTpeArt, SCR.GenRefArt, SCR.CdeNumCom, SCR.CdeNumLig) ; ces variables SNO sont initialisées différemment :
SNO.GenRefTypeCse contient la valeur VAD.
SNO.GenRefCse contient la référence de vari-article père du niveau en cours de génération.
Nomen. Fab. (RN1)
Requête RN1 d’initialisation du lien (Fabrication).
Nomen. SsT (RN1)
Requête RN1 d’initialisation du lien (Sous-Traitance).
Déf. Art. (RN2)
Requête RN2 d’initialisation du lien.
Init. Lien (RN5)
Requête RN5 d’initialisation du lien. Il est possible de définir plusieurs requêtes RN5 sur cette zone, à chaque sélection de requête, le résultat vient se cumuler sous forme de liste chaînée dont le séparateur est la virgule. Lors de la génération, les requêtes RN5 s’enchaînent dans l’ordre de la liste chaînée obtenue.
Onglet « Desc. Spécif. »
Dans cet onglet sont présentées automatiquement toutes les variables de type « VNO ».
Lors de l'affichage d'une variable spécifique nomenclatures de définition (VNO), Diapason contrôle la longueur du format de la variable. Ainsi, si celle-ci ne possède pas de format, Diapason utilise par défaut les formats suivants :
Type de Variable | Format Défaut |
Caractère | C/10 |
Décimal | R/8,3- |
Entier | E/8- |
Date | D/JJ/MM/AAAA |
Heure | HH:MM:SS |
Logique | L+/- |
Suppression Nomenclature
Permet de supprimer la totalité de la nomenclature générique du vari-article.
Duplication Nomenclature
Permet de créer la nomenclature générique d’un vari-article en la copiant d’un vari-article choisi.
Arborescence Nomenclature
Montre la nomenclature générique sous forme d’arbre et permet la modification des informations des liens.

Génération Nomenclature
Lance le traitement de génération (DTD-NOM) avec pré-initialisation des critères.
Génération Nomen. / Critères
Lance le traitement de génération (DTD-NOM) avec possibilité de changer les critères.
