Coûts de Revient'
Consultation Simplifiée ou Détaillée des Résultats
Les simulations disponibles en consultation sont les simulations calculées ou en cours de calcul.
Simulations / Articles
Concerne les simulations de type ‘S’.
La définition d’une telle simulation est décrite dans les chapitres suivants.
Il existe deux modes de consultation des résultats : le mode simplifié et le mode détaillé. Les listes présentées sont identiques si ce n’est que le mode détaillé présente en plus le détail des coûts calculés par nature analytique. Il est important de signaler que le mode détaillé est plus consommateur en ressource machine lors de l’affichage de la liste (temps de réponse plus long).
Les colonnes d’une ergonomie sur l’entité « Articles » peuvent être ajoutées à ces listes. Pour cela il faut définir la présentation via l’action « Présentation de Démarrage » sur le « Paramétrage des listes graphique » pour le code « PRVCAARS.ListePrvCaArs » (consultation simplifiée) ou « PRVCAART.ListeLiPrvCaArt » (consultation détaillée).
Consultation Simplifiée

Type: Type Article.
Référence: Référence Article.
Origine: Origine de l’Article. Un même article peut apparaître plusieurs fois dans les résultats avec une origine différente.
Si l’article peut être d’origine approvisionnée, on a une ligne avec origine « A »
Si l’article peut être d’origine sous-traitée, on a une ligne avec origine « S »
Si l’article peut être d’origine fabriquée, on a une ligne avec origine « F »
Désignation: Désignation liées à l’Article.
Famille: Référence Famille Tableau de Bord Coût de Revient liée à l’Article.
Sous-Famille: Référence Famille Tableau de Bord Coût de Revient liée à l’Article.
Sous-Sous-Famille : Référence Famille Tableau de Bord Coût de Revient liée à l’Article.
Coût Revient: Coût de Revient de l’Article.
Erreurs: Indique si le calcul a retourné des erreurs.
Consultation Détaillée
Présente la même liste que ci-dessus avec en plus le détail de coûts par nature analytique.

Actions disponibles depuis ces listes :
Détail Quantité ASMB
Lors d’un calcul de coût de revient de consolidation de valorisation d’OFs (calcul de coût de revient pour les articles standard moyens budgets), cette évolution permet de détailler le résultat : pour un article standard moyen budget donné, une nouvelle action (Détail Quantité ASMB) permet de visualiser la liste des produits (OFs, réceptions) à l’origine du calcul : la liste des produits (OFs, réceptions) est affichée, avec la quantité considérée et les différentes valeurs de nature analytique considérées.

Détail Calcul
Cette action permet d’afficher le détail du calcul du Coût de Revient.
Suivant le calcul, le détail peut afficher les coûts de revient jusqu’au niveau du détail des affectations.
La première ligne de cette liste présente le total du détail c’est à dire le coût de revient de l’article.
Le détail présente tout d’abord les résultats liés à la nomenclature puis à la gamme et enfin ceux liés au composé.
Pour chaque type de nature, le détail affiche les coûts par nature, affectation et le détail des affectations si souhaité.


Type: Type Article.
Référence: Référence Article.
Origine: Origine de l’Article.
Désignation: Désignation liées à l’Article.
Famille: Référence Famille Tableau de Bord Coût de Revient liée à l’Article.
Sous-Famille: Référence Sous-Famille Tableau de Bord Coût de Revient liée à l’Article.
Sous-Sous-Famille Référence Sous-Sous-Famille Tableau de Bord Coût de Revient liée à l’Article.
Type Don.: Permet d’indiquer à quoi est lié la ligne du détail. Est-une ligne détail liée à la nomenclature de l’article (NOM) ou bien liée à la gamme de l’article (GAM) ou bien liée au composé lui même (CSE). Le Type correspond à ‘TOT’ correspond à ligne présentant le coût de revient total.
Type Inf: Colonne qui permet d’identifier le niveau du détail :
DET : présente les totaux du plus bas niveau c’est à dire au niveau du composant, de l’étape etc..
ST-AFF : présente les totaux liés à l’affectation c’est à dire référence famille, les ressources etc.
ST-NAT : présente les totaux des différentes natures.
ST-TYP : présente les totaux des différents types de nature utilisés dans la simulation.
Type Nature: Référence du type de la nature analytique.
Désignation Type: Désignation du type de la nature analytique.
Nature Ana.: Référence de la nature analytique.
Désignation Nature: Désignation de la nature analytique .
Affectation: Référence Affectation.
Détail: Affiche le détail de l’affectation, si la simulation est par détail / affectation.
Coef. Coefficient utilisé.
Ume: Unité de Mesure Utilisée.
Rebut: Rebut paramétré sur les étapes de la gamme utilisée.
Prix: Prix Utilisé.
CRV Coût de Revient lié à la ligne courante.
Paramètres: Paramètres utilisés par l’affectation.
Valeur Num. Valeur Numérique liée au paramètre.
Valeur Car.: Valeur caractère liée au paramètre.
Le détail est brut :
Seule la colonne « CRV » est affichée, les colonnes informatives «Coe. », « UME », « Rebut » et « Prix » sont vides.
Les lignes noires sont issues des CRV de chacune des natures analytiques gérées par la simulation.
Les lignes bleues sont disponibles uniquement lors d’un calcul détaillé (mode indiqué lors du calcul via saisie de critères), elles détaillent le résultat CRV consolidé sur chaque nature analytique . Dans l’exemple donné le calcul est effectué sur l’article D_PF5 pour lequel il n’y a pas de vitrage, par contre il est lui-même composé de deux composants D_PF2 et D_PF4 qui en sont composé.La simulation gérant le coût du vitrage, le détail apparait en bleu avec la traçabilité « type composant / référence composant <- type composé / référence composé »
Erreurs Articles
Cette liste présente la liste des erreurs liées au paramétrage de l’article courant.

Article: Contient soit ‘-Art : ERR-GENERAL’ pour les erreurs générales soit ‘Art : Référence Article’ pour les erreurs concernant les articles.
Réf. Erreur: Référence de l’erreur.
Libellé: Libellé de l’erreur.
Erreurs Générales
Cette liste présente la liste des erreurs générales liées au calcul ainsi que les erreurs de tous les articles. Sa structure est identique à celle décrite ci-dessus.
Calcul par Ecart
Permet de relancer un calcul sur les articles sélectionnés.
Remarque : cette consultation est accessible depuis l’application de gestion de simulation.
Consultation / Ofs
Concerne les simulations de type ‘O’.
La définition d’une telle simulation est décrite dans les chapitres suivants.
Permet de visualiser les résultats des différents calculs de valorisation Ofs effectués. L’explorateur présente autant de branches que de types de calculs relatifs à un calcul. La consultation des résultats se fait donc par type de calcul.

Type Calcul: Type de Calcul de valorisation par OF.
OF/Cde: Référence OF ou Commande Fournisseur.
Ligne Numéro de ligne de commande, vide pour les Ofs.
Article: Référence Article.
Désignation: Désignation associée à l’Article.
Date Calcul: Date du Calcul.
Coût de Revient: Coût de Revient pour l’OF ou commande fournisseur.
Err: Indique si le calcul à retourné des erreurs.
Simulation: Référence simulation ayant servi de support pour le résultat, simulation du dernier calcul effectué.
Les actions disponibles sur cette liste :
Détail Calcul
Cette action permet d’accéder au détail du calcul issu de la simulation dont la référence est indiquée dans la colonne « Simulation ». Le résultat se présente sous la forme d’une liste telle que :

Le détail est brut :
Seule la colonne « CRV » est affichée, les colonnes informatives «Coe. », « UME », « Rebut » et « Prix » sont vides.
Les lignes noires sont issues des CRV de chacune des natures analytiques gérées par la simulation.
Les lignes bleues sont disponibles uniquement lors d’un calcul détaillé (mode indiqué lors du calcul via saisie de critères), elles détaillent le résultat CRV consolidé sur chaque nature analytique . Dans l’exemple donné le calcul est effectué sur l’article D_PF5 pour lequel il n’y a pas de vitrage, par contre il est lui-même composé de deux composants D_PF2 et D_PF4 qui en sont composé.La simulation gérant le coût du vitrage, le détail apparait en bleu avec la traçabilité « type composant / référence composant <- type composé / référence composé »
Sélection simulation :
Permet de sélectionner la simulation afin de récupérer la décomposition analytique pour la présentation du ‘Détail Calcul / Simulation sélectionnée’. Une référence de simulation par défaut peut être renseignée dans le paramètre général « PRV-DEC-OF ».
Détail Calcul / Simulation sélectionnée
Action identique à « Détail calcul » avec la possibilité de choisir une autre simulation (décomposition analytique) que celle rattachée au calcul. Auparavant il faudra sélectionner une simulation par l’action « Sélection simulation ».
Relance Calcul / Simulation rattachée à ordre
Cette action a pour effet de lancer un calcul unitaire sur l’élément courant de la liste. Ce calcul est effectué en mode test (aucun stockage physique en base) et en mode détaillé. Le calcul repose sur les mêmes caractéristiques que le calcul effectif dont le résultat est issu (simulation et méthode de calcul coût des composants). Le résultat se présente sous la forme d’une liste telle que :

Le détail est complet :
Toutes les colonnes « CRV », «Coe. », « UME », « Rebut » et « Prix » sont renseignées.
Les lignes noires sont issues des CRV de chacune des natures analytiques gérées par la simulation.
Les lignes bleues sont disponibles uniquement lors d’un calcul détaillé (mode indiqué lors du calcul via saisie de critères), elles détaillent le résultat CRV consolidé sur chaque nature analytique. Dans l’exemple donné le calcul est effectué sur l’article D_PF5 pour lequel il n’y a pas de vitrage, par contre il est lui-même composé de deux composants D_PF2 et D_PF4 qui en sont composés.La simulation gérant le coût du vitrage, le détail apparait en bleu avec la traçabilité « type composant / référence composant <- type composé / référence composé »
Les lignes rouges présentent les coûts consolidés par le calcul sur des natures analytiques non gérées par la simulation.
Dans ce cas la liste présentera deux lignes de total :

En rouge le CRV total de l’article.
En noir le CRV relatif à la décomposition analytique de la simulation
L’écart est présenté en fin de liste avec des lignes rouges :

Relance Calcul avec critère
Action permettant de lancer un calcul unitaire en mode test avec une saisie de critères permettant de modifier la méthode de calcul des coûts des composants et la simulation à utiliser. Ce calcul est forcé en mode détaillé.

La fiche critère est initialisée par défaut avec les caractéristiques du dernier calcul effectué sur l’enregistrement courant. Le détail affiché suit les mêmes caractéristiques que décrit précédemment dans l’action « Relance Calcul / Simulation rattachée à ordre ».
Erreurs Calcul
Présente la liste des erreurs issues du calcul pour l’OF courant.
Simulations / Besoins de Gestion
Principe identique à celui décrit précédemment, concerne les simulations de type ‘G’ utilisées pour calculer des coûts de revient sur les lignes de commandes commerciales ou les lignes de besoins de gestion portant sur des articles sur-mesure.
Dans la liste des résultats, la colonne « Origine » contient le numéro de commande et le numéro de ligne de la commande commerciale ou du besoin de gestion séparés par un « / », soit : NumCde/NumLig
La définition d’une telle simulation est décrite dans les chapitres suivants
Simulations / Budgets
Principe identique à celui décrit précédemment, concerne les simulations de type ‘B’.
Les simulations de type ‘B’ ne sont pas définissables par l’utilisateur, elles correspondent aux simulations étant rattachées à un au moins un budget calculé.
Simulations / Réalisés
Principe identique à celui décrit précédemment, concerne les simulations de type ‘A’.
Les simulations de type ‘A’ ne sont pas définissables par l’utilisateur, elles correspondent aux simulations étant rattachées à au moins un réalisé calculé.
Définition Coûts de Revient
La définition d’une simulation Coût de Revient s'effectue dans la branche « Définition Coût de Revient ». Cette branche présente autant de branches que de types de simulations

Les différents types de simulations sont :
- Simulations / Articles : Type ‘S’
- Simulations / Ofs : Type ‘O’
- Simulations / Besoins de Gestion : Type ‘G’
- Simulations / Budgets : Type ‘B’
- Simulations / Réalisés : Type ‘A’
Simulations / Articles
Onglet « Définition »

Simulation: Référence Simulation.
Désignation: Désignation associée à la Simulation.
Commentaire Commentaire associée à la Simulation.
Gestion Statut Auto. Une gestion d’avancement du paramétrage de la définition de la simulation à été intégrée. Il est possible que DIAPASON gère automatiquement l’état d’avancement (= case cochée). Il existe 3 statuts d’avancement : ‘En Attente’, ‘En-Cours’ et ‘Terminé’.
Statut: Affiche l’état d’avancement de la simulation avec : ‘ATT’ : non débuté ; ‘ENC’ : En-cours de paramétrage ; ‘TER’ : paramétrage terminé.
Budgets Rattachés : Présente la liste des budgets dans lesquels la simulation a été utilisée.
Réalisés Rattachés Présente la liste des Réalisés dans lesquels la simulation a été utilisée.
Onglet « Env. Calcul »

Méthode de Calcul
Indique la méthode de Calcul à utiliser sur la simulation. Cette zone est munie d’une aide.
Pour un simple calcul de coût de revient, c’est la méthode « 2 » qui est préconisée.
Requête de Calcul
Permet de renseigner une requête de calcul (REB/PRV). Cette requête peut servir par exemple à initialiser les données techniques du calcul. Cette zone est saisissable que si la méthode de calcul est égal à ‘0’ ou ‘2’.
Le tableau ci-dessous décrit les contextes d’entrée et de sortie de la requête :
Variables SCR contextuelles en entrée :
Variables | Désignation | Commentaire |
SCR.GenRefTypeArt | Type article | |
SCR.GenRefArt | Référence article | |
SCR.GenOriPrin | Origine article | |
SCR.LanSerFabOF | Référence OF | |
SCR.AppNumCom | Commande fournisseur | |
SCR.AppNumLig | Ligne commande fournisseur | |
SCR.PrvEntMetTyp | Méthode de calcul | |
SCR.PrvSimCalDet | Calcul détaillé ? | |
SCR.PrvSimRef | Référence simulation | |
SCR.PrvSimDatApp | Date d’application pour les données techniques | |
SCR.PrvEntCalTyp | Type de calcul | Renseigné si simulation / OF, vide sinon |
SCR.PrvEntCalMet | Méthode de calcul | |
Scr.CdeNumCom | Commande commerciale | Simulation de type’G’ |
SCR.CdeNumLig | Ligne commande commerciale | Simulation de type ‘G’ |
SCR.PrvSimDTTyp | Type de donnée | Simulation de type ‘G’, peut contenir LG : Ligne de besoin de gestion LD : ligne de devis LC : ligne de commande |
Listes standards contextuelles en entrée :
Liste | Désignation | Commentaire |
WFPrvNom | Nomenclature | - Pour un article approvisionné : contient lui-même avec méthode coût composant = ‘0’ par défaut OU défini sur la simulation si pas de gestion multi-niveaux par le biais du bouton « Caract. Coûts Csants » - Pour une article fabriqué ou sous-traité : la nomenclature va dépendre de la valeur du champ « Type données tec. » |
WFPrvGam | Gamme | Pour les articles fabriqués ou sous-traités la gamme résultat va dépendre de la valeur du champ « Type données tec. » |
WFPrvPar | Paramètres environnement de calcul |
Complément Méthode : Permet de renseigner un complément méthode. Utilisé pour la méthode de calcul de Consolidation Valorisation Ofs ou si la requête de calcul est renseignée. Zone munie d’une aide présentant dans le cas de la valorisation Ofs les types calcul valorisation / Ofs (ces paramètres sont créés dans ‘Paramétrages Coûts de Revient’ -> ‘Paramètre Coûts de Revient’ -> ‘Type Calcul Valorisation / Ofs’) et dans le cas d’une requête de calcul la fonction de la requête c’est à dire :
0 : Par Requête seulement signifie que tout est fait dans la requête.
1 : Par Requête avec init des données techniques signifie que DIAPASON initialise que les données techniques et que la requête fait le reste.
2 : Par Requête avec init des D.T et calcul Préal. Signifie DIAPASON effectue l’initialisation des données techniques ainsi que le calcul standard et la requête est exécutée après le calcul.
3 : Init DT seules par requête signifie que la requête ne sert qu’à initialiser les DT. Permet de retravailler les listes standards WFPrvNom, WFPrvGam et WFPrvPar pour la suite du calcul.
Début Méthode
Date de Début de prise en compte des historiques de déclaration de fabrication ou réception d’approvisionnement. Utilisé pour la méthode de calcul de Consolidation Valorisation Ofs.
Fin Méthode
Date de Fin de prise en compte des historiques de déclaration de fabrication ou réception d’approvisionnement. Utilisé pour la méthode de calcul de Consolidation Valorisation Ofs.
Optimisation Calcul :Cette liste déroulante précise le niveaux de calcul à effectuer :
[0] : les données techniques et le détails par affectation ne seront pas mémorisés.
[1] : Seul le Détail par Affectation sera mémorisé.
[2] : Seules les Données Techniques seront mémorisées.
[3] : Mémorisation des Données techniques et du détail par Affectation.
Remarque : un calcul ayant une optimisation de type 0 sera beaucoup plus rapide qu’un calcul avec une optimisation de type 3.
Onglet « Données Techniques »

Date Application DT: Les données techniques à prendre en compte lors du calcul seront déduits de cette date.
Type Données Tech: L’utilisateur choisit le type de données techniques à prendre en compte lors du calcul :
0 : Données Techniques Majeures signifie que la gamme utilisée pour le composant est la gamme majeure.
1 : Données Techniques Coût de Revient Articles signifie que la gamme utilisée pour le composant est la gamme correspondant à l'unité de production et au cadre d'utilisation définis sur la fiche article du composant dans le volet « Coût de Revient » (PrvUniProRef et PrvGamCadUti).
2 : Données techniques Budget signifie que la gamme utilisée pour le composant est la gamme correspondant à l'unité de production et au cadre d'utilisation définis sur le budget rattaché à la simulation. Dans ce cas, une référence budget doit être renseignée.
9 : Données Techniques Locales signifie que la gamme utilisée pour le composant est la gamme correspondant à l'unité de production et au cadre d'utilisation définis sur la simulation (Unités Prod. Gamme, Cadre Uti. Gamme).
Unité Prod. Gamme: En saisie dans le cas où les données techniques sont propres à la simulation. L’utilisateur choisit l’unité de production de choix de gamme des données techniques de production.
Cadre Uti. Gamme En saisie dans le cas où les données techniques sont propres à la simulation. L’utilisateur choisit le cadre d’utilisation de choix de gamme des données techniques de production.
Unité Prod. Nomen: En saisie dans le cas où les données techniques sont propres à la simulation. L’utilisateur choisit l’unité de production de choix de nomenclature de gestion des données techniques de production.
Cadre Uti. Nomen: En saisie dans le cas où les données techniques sont propres à la simulation. L’utilisateur choisit le cadre d’utilisation de choix de nomenclature de gestion des données techniques de production.
Budget: En saisie dans le cas où les données techniques sont issues d’un budget. L’utilisateur choisit le budget à partir duquel seront récupérées les données techniques pour le calcul. (Sera notamment utilisé pour le calcul de l’Actualisé Valeur Prix).
Nomen. Multi-Niveaux Si ce logique est coché (valeur défaut), l’initialisation des données techniques pour le calcul se fera systématiquement en descendant toute la nomenclature. Dans le cas contraire, il est nécessaire d’indiquer la méthode de recherche des coûts des composants ( bouton Caract. Coûts Csants). (Voir Principe Gestion Multi-Niveaux)
Caract. Coûts Csants . Bouton présentant un tableur permettant de renseigner pour chacune des familles de composants, la méthode de calcul. Cette zone est active uniquement si la zone précédente n’est pas cochée. Les méthodes de calcul disponibles à ce niveau sont :
0 : Par Rapport à Simulation Courante (Valeur défaut)
1 : Par Rapport à Simulation
2 : Par Rapport à Budget
3 : Par Rapport à Réalisé
Dans le cas 0, la nomenclature du composant est intégrée dans la nomenclature du composé (on gère la nomenclature multi-niveaux).
Dans les cas 1, 2 et 3, la nomenclature du composant n’est pas intégrée dans la nomenclature du composé et il est nécessaire de renseigner la référence de la simulation, du budget ou du réalisé.
(Voir Principe Gestion Multi-Niveaux)
Méthode Multi-Origines: Cette zone permet d’indiquer la méthode de gestion du multi-origines des composants. Les valeurs possibles sont :
[0] Origine Principale Article (Valeur défaut) : le coût de revient rattaché à l’origine principale de l’article sera considéré.
[1] Origine CRV Article : Nouvelle notion. Il sera possible de définir au niveau de la définition de l’article, dans les informations inhérentes aux CRV, quelle origine devra être prise en compte. Si elle n’est pas renseignée, l’origine principale sera considérée.
[2] Origine / Famille de Composants : Cette option se reposera sur le paramétrage ayant pu être fait sur la zone ‘Caract. Multi-Origines’.
(Voir Principe Gestion Multi-Niveaux)
Caract. Multi-Origines: Bouton présentant un tableur permettant de définir pour chacune des familles de composants, quelle est origine à prendre en compte pour la recherche des coûts de revient des composants multi-origines dans une simulation. Cette zone est active uniquement si la zone précédente (Méthode Multi-Origines) à la valeur ‘2’. (Voir Principe Gestion Multi-Origines)
Type DT Logistique: L’utilisateur choisit le type de données techniques pour les données de logistique
Unité Prod. Gamme: En saisie dans le cas où les données techniques sont propres à la simulation. L’utilisateur choisit l’unité de production de choix de gamme des données techniques de logistique.
Cadre Uti. Gamme : En saisie dans le cas où les données techniques sont propres à la simulation. L’utilisateur choisit le cadre d’utilisation de choix de gamme des données techniques de logistique.
Type DT Complément: L’utilisateur choisit le type de données techniques pour les données complémentaires.
Unité Prod. Gamme: En saisie dans le cas où les données techniques sont propres à la simulation. L’utilisateur choisit l’unité de production de choix de gamme des données techniques complémentaires.
Cadre Uti. Gamme En saisie dans le cas où les données techniques sont propres à la simulation. L’utilisateur choisit le cadre d’utilisation de choix de gamme des données techniques complémentaires.
➡️ Principe de Gestion de Nomenclature Multi-Niveaux
Principe :
Pour un composant, quelle que soit son origine, on peut souhaiter ou non intégrer sa nomenclature dans la nomenclature du composé. Dans le cas où on ne souhaite pas intégrer sa nomenclature, il est nécessaire de donner la méthode d’intégration de son coût de revient dans la coût du composé. Ce coût peut alors être pris sur une simulation, un budget ou un réalisé : la décomposition analytique du composant dans la simulation, budget ou réalisé est alors intégrée dans la décomposition analytique du composé. Dans le cas d’une simulation, il est alors nécessaire de définir l’origine à utiliser car, pour un article multi-origines, un coût de revient est automatiquement calculé pour chaque origine. Dans le cas d’un budget ou d’un réalisé, un coût moyen est calculé pour chaque article en fonction des quantités, c’est donc ce coût moyen qui sera considéré.

Si ce logique est coché (valeur défaut), l’initialisation des données techniques pour le calcul se fera systématiquement en descendant toute la nomenclature. Dans le cas contraire, il est nécessaire d’indiquer la méthode de recherche des coûts des composants (zone décrite ci-après).

Bouton présentant un tableur permettant de renseigner pour chacune des familles de composants, la méthode de calcul. Cette zone est active uniquement si la zone précédente n’est pas cochée. Les méthodes de calcul disponibles à ce niveau sont :
Par Rapport à Simulation Courante (Valeur défaut)
Par Rapport à Simulation
Par Rapport à Budget
Par Rapport à Réalisé
Dans le cas 0, la nomenclature du composant est intégrée dans la nomenclature du composé (on gère la nomenclature multi-niveaux)
Dans les cas 1, 2 et 3, la nomenclature du composant n’est pas intégrée dans la nomenclature du composé et il est nécessaire de renseigner la référence de la simulation, du budget ou du réalisé.
Le tableur se présente comme suit :
Familles Composants | Méthode | Complément |
Famille 1 | 0 – Simulation Courante | |
Famille 2 | 1 – Simulation | RefSimulation |
.... | ... | |
Famille n | 2 – Budget | RefBudget |
➡️ Principe de Gestion du Multi-origines

Cette zone permet d’indiquer la méthode de gestion du multi-origines des composants.
Les valeurs possibles sont :
Origine Principale Article (Valeur défaut) : le coût de revient rattaché à l’origine principale de l’article sera considéré.
Origine CRV Article : Nouvelle notion. Il sera possible de définir au niveau de l’article, dans les informations inhérentes aux CRV, quelle origine devra être prise en compte. Si elle n’est pas renseignée, l’origine principale sera considérée.
Origine / Famille de Composants : Cette option se reposera sur le paramétrage ayant pu être fait sur la zone ‘Caract. Multi-Origines’.

Bouton présentant un tableur permettant de définir pour chacune des familles de composants, quelle origine devra être prise en compte pour la recherche des coûts de revient des composants multi-origines dans une simulation. Cette zone est active uniquement si la zone précédente à la valeur ‘2’. Ce tableur se présentera comme suit :
Familles Composants | Origine |
Famille 1 |
|
Famille 2 |
|
.... |
|
Famille n |
|
Si, pour un article donné, l’origine renseignée dans le tableur pour sa famille de composants est incompatible avec sa définition (Origine F saisie et article non fabriqué), l’origine principale est alors considérée.
Exemple :
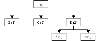
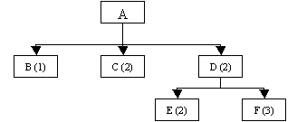
Calcul du coût de revient d’un produit fabriqué A composé de deux articles approvisionnés B et C et d’un article D pouvant être soit fabriqué, soit sous-traité, ayant comme origine principale ‘F’, comme origine CRV ‘S’, comme famille de composants ‘FAMCSA’ et lui-même composé des articles approvisionnés E et F :

Cas 1 :
On gère la nomenclature multi-niveaux (la zone ‘Nomenclature Multi-Niveaux’ est cochée)
On prend l’origine principale des composants (la zone ‘Méthode Multi-Origines’ est à 0)
La nomenclature utilisée pour le calcul de l’article A est :

Composants | Quantité | Origine |
B | 1 | A |
C | 2 | A |
E | 4 | A |
F | 6 | A |
Les coûts des composants B, C, E, F sont affectés à la matière.
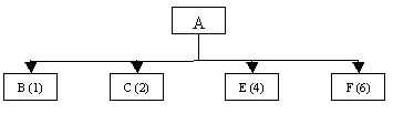
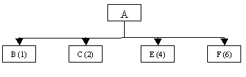
Cas 2 :
On gère la nomenclature multi-niveaux (la zone ‘Nomenclature Multi-Niveaux’ est cochée)
On prend l’origine CRV des composants (la zone ‘Méthode Multi-Origines’ est à 1)
La nomenclature utilisée pour le calcul de l’article A est :

Composants | Quantité | Origine |
B | 1 | A |
C | 2 | A |
D | 2 | S |
E | 4 | A |
F | 6 | A |
Les coûts des composants B, C, E, F sont affectés à la matière. Le coût du composant D est affecté à la sous-traitance.
Cas 3 :
On ne gère pas la nomenclature multi-niveaux (la zone ‘Nomenclature Multi-Niveaux’ n’est pas cochée)
Pour la famille FAMCSA, la méthode de calcul des coûts des composants est ‘2 = Budget’ et le budget renseigné est ‘2003’ (ou ‘3= Réalisé’)
La nomenclature utilisée pour le calcul de l’article A est :

Composants | Quantité | Origine |
B | 1 | A |
C | 2 | A |
Les coûts des composants B, C, sont affectés à la matière. L’article D n’est pas considéré dans la matière mais sa décomposition analytique moyenne calculée pour le budget ‘2003’ (ou le réalisé) est ajoutée à la décomposition analytique de l’article A :
Cas 4 :
On ne gère pas la nomenclature multi-niveaux (la zone ‘Nomenclature Multi-Niveaux’ n’est pas cochée)
Pour la famille FAMCSA, la méthode de calcul des coûts des composants est ‘1 = Simulation’ et la simulation renseignée est ‘SIMUL’
On prend l’origine principale des composants (la zone ‘Méthode Multi-Origines’ est à 0)
La nomenclature utilisée pour le calcul de l’article A est :

Composants | Quantité | Origine |
B | 1 | A |
C | 2 | A |
Les coûts des composants B, C sont affectés à la matière. L’article D n’est pas considéré dans la matière mais sa décomposition analytique calculée pour l’origine F dans la simulation ‘SIMUL’ est ajoutée à la décomposition analytique de l’article A.
Principe de Valorisation de la Sous-traitance
Un article sous-traité (produit fini ou composant) possède une famille de sous-traitance qui est affectée à une nature analytique de type Sous-Traitance. Pour cette famille de sous-traitance, le paramètre ISSsTPriTy, permet de définir le type de prix de sous-traitance à utiliser lors du calcul des coûts de revient.
Les valeurs possibles de ce paramètre sont :
Cinq Valeurs Figées
0 : DPAC
Le DPAC de l’article est affecté à la nature analytique de sous-traitance
On intègre les composants de l’article sous-traité dans la nomenclature de l’article calculé
1 : DPAC à Date
Le prix unitaire de la dernière réception fournisseur antérieure à la date donnée dans le volet ‘Paramétrage Prix Composants’ de la simulation est affecté à la nature analytique de sous-traitance.
On intègre les composants de l’article sous-traité dans la nomenclature de l’article calculé
2 : Simulation
On ajoute la décomposition analytique calculée dans la simulation (définie sur l’onglet ‘Prix’) pour l’article sous-traité à la décomposition analytique de l’article calculé.
On n’intègre pas les composants de l’article sous-traité dans la nomenclature de l’article calculé
3 : Budget
On ajoute la décomposition analytique calculée dans le budget (défini sur l’onglet ‘Prix’) pour l’article sous-traité à la décomposition analytique de l’article calculé.
On n’intègre pas les composants de l’article sous-traité dans la nomenclature de l’article calculé
4 : Réalisé
On ajoute la décomposition analytique calculée dans le réalisé (défini sur l’onglet ‘Prix’) pour l’article sous-traité à la décomposition analytique de l’article calculé.
On n’intègre pas les composants de l’article sous-traité dans la nomenclature de l’article calculé
Une liste de requêtes RP1 préfixées par ‘CSA_’ avec comme désignation ‘Composants + ‘ suivi de la désignation de la requête :
La requête renvoie un prix unitaire qui est affecté à la nature analytique de sous-traitance
On intègre les composants de l’article sous-traité dans la nomenclature de l’article calculé.
Cette même liste de requêtes RP1 préfixées par ‘CUN_’ avec comme désignation ‘Coût Unique :‘ suivi de la désignation de la requête
La requête renvoie un prix unitaire qui est affecté à la nature analytique de sous-traitance
On n’intègre pas les composants de l’article sous-traité dans la nomenclature de l’article calculé La nature analytique de sous-traitance intègre tous les coûts de l’article (prestation de sous-traitance + composants)
Onglet « Prix »

Date Application Tarifs: Date d’application prise en compte pour la récupération des tarifs.
Date Application: Date Application afin de récupérer les prix composants.
Simulation: Référence Simulation (défaut) sur laquelle on souhaite récupérer le prix des composants.
Budget: Référence Budget (défaut) contenant le prix des composants.
Réalisé: Référence Réalisé (défaut) contenant le prix des composants.
Tarif Composants: Permet de donner la référence d’une grille de tarifs à utiliser pour rechercher le prix de composants. Cette grille sera utilisée lorsque les paramètres IsCsaPriTy et ISSstPriTy ont pour valeur « 9 – Tarif Donné ».
Tarif: Permet de renseigner le tarif utilisé pour le calcul du prix de vente par défaut.
Réseau: Permet de renseigner le réseau utilisé pour le calcul du prix de vente par défaut.
Client: Permet de renseigner le Client utilisé pour le calcul du prix de vente par défaut.
Règle répartition: Permet de renseigner une règle de répartition des coûts pour le module valorisation.
Onglet « Droits »

Définition Structure: Permet de filtrer les utilisateurs ayant accès à la définition de la simulation.
Saisie Valeurs : Permet de filtrer les utilisateurs ayant accès à la saisie des valeurs des paramètres de base.
Utilisation Simulation: Permet de filtrer les utilisateurs ayant accès à l’utilisation de la simulation (Lancement Calcul, etc.).
Onglet « Propriétés »

Afficher Libellé Court: Donne la possibilité de n’afficher que les libellés courts des paramètres de base.
Format Valeurs: Permet de définir l’affichage du format des valeurs sur les différentes listes.
Classeur Modèle: Référence Classeur du Modèle pour la liste des résultats Coût de Revient des articles.
Feuille Modèle : Référence Feuille du Modèle pour la liste des résultats Coût de Revient des articles.
Classeur Destinataire : Référence du Classeur de destination pour la liste des résultats Coût de Revient des articles.
Feuille Destinataire: Référence de la feuille de destination pour la liste des résultats Coût de Revient des articles.
Enchaînement Export :Référence Macro d’Export pour la liste des résultats Coût de Revient des articles.
Classeur Modèle : Référence Classeur du Modèle pour la liste présentant le détail des Coûts pour un article.
Feuille Modèle :Référence Feuille du Modèle pour la liste présentant le détail des Coûts pour un article.
Classeur Destinataire : Référence du Classeur de destination pour la liste présentant le détail des Coûts pour un article.
Feuille Destinataire : Référence de la feuille de destination pour la liste présentant le détail des Coûts pour un article.
Enchaînement Export :Référence Macro d’Export pour la liste présentant le détail des Coûts pour un article.
Onglet « Situation Calcul »

Calcul Réalisé : Indique si le calcul est terminé.
Calcul en Cours :Indique que le calcul est en cours.
Erreurs : Indique si le calcul à des erreurs.
Date Début Calcul :Date de Début du dernier calcul effectué sur la simulation.
Heure Début Calcul : Heure de Début du dernier calcul effectué sur la simulation
Date Fin Calcul : Date de Fin du dernier calcul effectué sur la simulation.
Heure Fin Calcul: Heure de Fin du dernier calcul effectué sur la simulation.
Onglet « Situation Calcul »
informations générales de gestion de l’enregistrement.
Simulations / Ofs
La fiche de définition des simulations / Ofs est identique à celle des simulations / Articles. Seuls les écarts de gestion au niveau de la définition seront détaillés.
Onglet « Données Techniques » :

Dans ce cadre de simulation il n’y a pas de gestion multi-niveaux, la valeur du champ est toujours ‘Non’ et la zone n’est pas saisissable. Dans le cadre d’un calcul à l’OF le parcours de la nomenclature reste identique à celui effectué jusqu’alors, c’est l’origine principale des composants qui est considérée lors du calcul (pas de gestion du multi-origines) et la récursivité est gérée par des critères saisis lors du lancement du calcul.
Simulations / Besoins de Gestion
La fiche de définition des simulations / Besoins de Gestion est identique en tous points à celle décrite pour les simulations / Articles.
Ce type de simulation est dédié aux calculs de coûts de revient pouvant être effectués lors de la création de ligne de commandes commerciales et/ou lors de leur phase d’intégration. Ces simulations ne seront utilisées que si l’article commandé est un produit sur-mesure. Un nouvel onglet ‘CRV’ a été ajouté dans la fiche de définition des lignes de commandes commerciales et sa gestion se présente comme suit :

Type Maj. CRV: Ce champ peut prendre 4 valeurs possibles.
0 : Pas de calcul.
1 : Coût manuel. L’utilisateur renseigne le ou les coûts de revient. Aucun calcul n’est effectué.
2 : Calcul manuel. Le calcul sera déclenché par l’utilisateur et reposera sur le paramétrage défini (calcul sur une , deux ou trois simulations en simultané). Le lancement du calcul se fait depuis le bureau CRV & Budget à partir de la simulation par le biais de l’action ‘Lancement Calcul’.
3 : Calcul automatique. Le calcul sera déclenché lors de la validation de la création de la ligne ou lors de la phase d’intégration.
4 : Consolidation besoins de gestion.
5 : Consolidation manuelle bes. ges. / Poids, voir Chapitre Principes Consolidation Besoins de gestion par Poids
6 : Consolidation automatique bes. ges. / Poids, voir Chapitre Principes Consolidation Besoins de gestion par Poids principes

Simulation 1, Simulation 2, Simulation 3: Référence simulation devant être calculée. Si la ligne de commande porte sur un article sur-mesure, une simulation / besoin de gestion doit être saisie, sinon une simulation / article doit être saisie.
Ce champ n’est saisissable que si Type MAJ. CRV a pour valeur ‘2’ ou ‘3’. Aucun de ces champs n’est obligatoire
Coût Revient 1, Coût Revient 2, Coût Revient 3
Ces champs ne sont saisissables que si Type MAJ. CRV a pour valeur ‘1’. Dans le cas contraire, ils récupèrent le résultat du calcul CRV issu de leur simulation correspondante.
Simulations / Budgets
La fiche de définition des Simulations / Budget est identique en tous points à celle décrite pour les simulations / Articles.
Ce type de simulation ne bénéficie d’action de création et de duplication. Une simulation devient de type ‘B’ si elle est utilisée dans un budget calculé.
Il est à noter que pour ce type de simulation, la gestion de la structure n’est accessible qu’en mode consultation. L’action ‘Saisie valeurs des Paramètres’ n’est accessible que pour consulter les valeurs de ces derniers (la modification des valeurs n’est pas possible).
Simulations / Réalisés
La fiche de définition des Simulations / Réalisés est identique en tous points à celle décrite pour les simulations / Articles.
Ce type de simulation ne bénéficie d’action de création et de duplication. Une simulation devient de type ‘A’ si elle est utilisée dans un réalisé calculé.
Il est à noter que pour ce type de simulation, la gestion de la structure n’est accessible qu’en mode consultation. L’action ‘Saisie valeurs des Paramètres’ n’est accessible que pour consulter les valeurs de ces derniers (la modification des valeurs n’est pas possible).
Principes Consolidation Besoins de gestion par Poids
Introduction.
Le problème à traiter concerne certains cas de découpe de lignes de besoins de gestion et de leur affectation à un ASMB (article standard moyen budget).
Dans la version actuelle, il faut que chaque ligne découpée de besoin issue d’une ligne de commande commerciale soit affectée à un ASMB distinct : ainsi, chaque OF ou OA lié à chaque ligne découpée sera consolidé au sein de l’ASMB correspondant.
La demande d’évolution consiste à pouvoir gérer un poids sur chaque ligne découpée de manière à ce que l’ensemble des lignes découpées d’une même ligne de commande commerciale soit rattaché à un seul ASMB.
Principes retenus.
Le principe général est de calculer un poids de chaque ligne découpée à partir d’un calcul de coût de revient effectué sur chaque ligne découpée lors de l’intégration.
Exemple : soit la ligne commerciale suivante LC1 de quantité 2 consolidée sur un unique ASMB.
Elle est découpée en 3 lignes de besoins de gestion dont chacun à un calcul de coût de revient effectué avec une décomposition analytique donnée. Le résultat le suivant :
Lig | Qté | Prix Vte | AA1 | AA2 | AA3 | AA4 | CRV unit. |
LD1 | 2 | 100 | 50 | 10 | 160 | ||
LD2 | 4 | 50 | 20 | 5 | 75 | ||
LD3 | 6 | 20 | 10 | 10 | 5 | 45 |
A partir de ce calcul unitaire, Diapason calcule un poids de chaque ligne découpée à partir du cout unitaire de la ligne découpée, divisée par le total des couts ramenés à la quantité unitaire de la ligne principale.
Exemple :
Lig | Qté | CRV unit. | Formule calcul poids CRV | Résultat poids CRV |
LD1 | 2 | 160 | = (2 * 160) / (2*160 + 4*75 + 6*45) | 0,359550562 |
LD2 | 4 | 75 | = (4*75) / (2*160 + 4*75 + 6*45) | 0,337078652 |
LD3 | 6 | 45 | = (6*45) / (2*160 + 4*75 + 6*45) | 0,303370787 |
Chaque ligne découpée va faire l’objet d’un ordre (de fabrication ou d’approvisionnement) qui sera valorisé en terme de coût de revient avec sa propre décomposition analytique.
Lors de la consolidation sur l’ASMB des différents ordres, chaque ordre sera consolidé au niveau prix avec chaque valeur de chaque nature analytique, la quantité affectée à l’ASMB sera affectée avec la quantité de l’ordre multipliée par le poids CRV de la ligne découpée rattachée à l’ordre.
Exemple :
soit la décomposition analytique de l’ASMB suivante après consolidation sur une période de plusieurs ordres:
ASMB | Qté | AA1*Qté | AA2*Qté | AA3*Qté | AA4*Qté | CRV *Qté | CRV unit. |
ASMB1 | 2 | 220 | 80 | 50 | 60 | 410 | 205 |
Consolidation :
Soit le calcul de CRV unitaire d’un OF de la ligne découpée 3 (LD3) :
OF | Qté | AA1 unit. | AA2 unit. | AA3 unit. | AA4 unit. | CRV unit. |
OF1 | 3 | 15 | 9 | 11 | 6 | 41 |
L’ajout de cette déclaration d’OF à l’ASMB lors d’une phase de consolidation est la suivante
ASMB1 | Qté | AA1*Qté | AA2*Qté | AA3*Qté | AA4*Qté | CRV*Qté |
Formule | =2+0,303370787*(3*2/6) | =220+15*3 | =80+9*3 | =50+11*3 | =60+6*3 | |
Résultat | 2,303370787 | 265 | 107 | 83 | 78 | 533 |
Le résultat de calcul de CRV dans DIAPASON est le suivant (tableau de bord de visualisation) :
ASMB | AA1 | AA2 | AA3 | AA4 | CRV unitaire |
ASMB1 | =265/2,303370787 | =107/2,303370787 | =83/2,303370787 | =78/2,303370787 | |
ASMB1 | 115,05… | 46,45… | 36,03… | 33,86… | 231,39 |
Ce principe sera effectué pour chaque ordre géré par découpe et consolidé quantitativement par le poids de chaque ligne découpé suivant la règle décrite ci-dessus.
Evolutions
Gestion commerciale
Deux nouvelles méthodes de calcul CRV sont ajoutées pour intégrer la notion de calcul par poids, elles sont sélectionnables dans la zone « Type MAJ CRV » de l’onglet « CRV » sur la définition des lignes de commande commerciale.

Pour les types de mise à jour « 5 » et « 6 », le calcul du poids s’effectue lors de la phase d’intégration.
Paramétrage
Le poids calculé est stocké dans une variable spécifique ligne de besoin de gestion (VLC) de type numérique
Cette variable doit être renseignée sur le paramètre général « PRV-LIG-POI » :

Exemples
Cas 1. : la ligne de commande est découpée en 2 lignes sans ligne annexe rattachée
Ligne d1

Nomenclature

Gamme générée

Ligne d2

Nomenclature

Gamme générée

Cas 2. : la ligne de commande est découpée en 3 lignes avec une ligne annexe rattachée
Ligne d1 : principale

Nomenclature

Gamme générée

Ligne d2 : ligne annexe rattachée

Nomenclature

Gamme générée

Ligne d3 : ligne découpée non annexe rattachée

Nomenclature

Gamme générée

Simulation sur Besoins de Gestion : D_SIM_G


Résultat des calculs

Détail résultat pour la ligne de commande 1209000018/0002d1 :

Définition de l’architecture de la Simulation
La définition de l‘architecture d’une simulation passe par la définition de sa décomposition analytique et suit les étapes suivantes :
Définition des types de natures analytiques à gérer
Rattachement des natures analytiques sur chacun des types
Rattachement des affectations sur chacune des natures
Rattachement des paramètres de base
Saisie des valeurs des paramètres de base.
L’action de définition de l’architecture d’une simulation passe par la gestion d’un tree-view.
Deux concepts de définition existent :
création simple : ce mode demande de tout définir, la structure de départ est vierge.
création à partir d’un modèle : ce mode initialise la structure à partir de celle du modèle sélectionné.
Voici à quoi ressemble l’architecture d’une simulation :
le premier niveau présente la référence simulation.
le deuxième niveau présente tous les types de nature analytique utilisés sur la simulation.
le troisième niveau présente les natures analytiques rattachées au type de nature analytique sélectionné.
le quatrième niveau présente les affectations rattachées à la nature analytique sélectionnée.
Le cinquième niveau présente tous les paramètres de base utilisés pour le calcul de l’affectation sélectionnée.

La définition d’un niveau, hormis le niveau 1, se fait à partir de son niveau père.
Remarque : à l’ouverture de l’application de définition de l’architecture d’une simulation, par défaut les trois premiers niveaux sont développés.
Définition Niveau 2 : Types de Natures Analytiques
La définition des types de natures analytiques à intégrer dans la structure se fait à partir du niveau 1 (simulation). Par défaut, tous les types de nature sont intégrés dans la structure.
Il est possible d’enlever/ajouter des types de nature analytique depuis l’action ‘Sélection Types Natures Analytiques’ disponible sur la liste de droite.

Cette action lance un drag&drop permettant de sélectionner/dé-sélectionner les types de natures analytiques.

La validation du drag&drop cause un rafraîchissement du tree-view en fonction des sélection/dé-sélection effectuées.
Définition Niveau 3 : Natures Analytiques
La définition des natures analytiques à intégrer dans la structure se fait à partir du niveau 2 (Types Natures Analytiques).
Il est possible d’enlever/ajouter des natures analytiques depuis l’action ‘Sélection Natures Analytiques’ disponible sur la liste de droite.

Cette action lance un drag&drop permettant de sélectionner/dé-sélectionner les natures analytiques rattachées au type de nature courant (Voir Natures Analytiques).

La validation du drag&drop cause un rafraîchissement du tree-view en fonction des sélection/dé-sélection effectuées.
Définition Niveau 4 : Affectations
La définition des affectations à intégrer dans la structure se fait à partir du niveau 3 (Natures Analytiques).
Il est possible d’enlever/ajouter des affectations depuis l’action ‘Sélection Affectations’ disponible sur la liste de droite.

Cette action lance un drag&drop permettant de sélectionner/dé-sélectionner les affectations possibles pour la nature analytique courante. Ces affectations sont déduites à partir du type de nature analytique courant. Les affectations possibles en fonction des types de natures analytiques sont :
Types natures analytiques | Affectations possibles |
I-LOG, PR1, PR2, I-STR, STR | Référence Famille de Composé. |
I-SST, SST | Référence Famille Sous-Traitance |
I-MAT, MAT | Référence de Familles de Composant |
I-MAC, MAC, I-MOE, MOE, IA-MOE, IP-MOE | Référence Ressource. Les ressources possibles sont les ressources gérées coûts de revient et pour lesquelles le secteur et l’unité de production sont gérés coûts de revient. |

Ce drag & drop contient la référence des affectations, leurs désignations ainsi que les natures analytiques auxquelles elles sont déjà rattachées. Il est tout à fait possible de sélectionner une affectation qui est déjà rattachée à une autre nature analytique. Ceci a pour effet de supprimer le lien existant et d’en recréer un nouveau avec la nature analytique courante.
La validation du drag&drop cause un rafraîchissement du tree-view en fonction des sélection/dé-sélection effectuées. Deux types de rafraîchissements sont possibles à l’issue de ce drag & drop :
- niveau courant seulement : les affectations sélectionnées n’étaient pas rattachées à une autre nature analytique.
- niveau père / niveau courant : au moins une affectation sélectionnée était rattachée à une autre nature analytique.
Définition Niveau 5 : Paramètres de base
La définition des paramètres à intégrer dans la structure se fait à partir du niveau 4 (Affectations).

Il est possible d’enlever/ajouter des paramètres de base depuis l’action ‘Sélection Paramètres de base’ disponible sur la liste de droite. Toutes les affectations d’une même nature analytique auront forcément les mêmes paramètres de base liés.

Ce drag & drop contient la référence et la désignation des paramètres correspondant au type de nature analytique.
Caractéristiques Paramètres

Paramètre: Référence paramètre de base. Seuls les paramètres rattachés au type de nature analytique courant sont disponibles. Il est possible de créer de nouveaux paramètres mais ils ne pourront s’intégrer dans un calcul que par le bais de DIALOG.
Num. Ordre: Numéro d’ordre d’affichage du paramètre. Il est possible d’ordonner les paramètres. Cet ordre intervient notamment dans le tableur de saisie des valeurs de paramètres.
Détail définition: Saisissable uniquement si le type de nature analytique appartient à la liste :I-MAC, MAC, I-MOE, MOE, IA-MOE, IP-MOE. Dans ce cas les valeurs possibles sont ‘U’, ‘A’, ‘R’, ‘UAR’.
‘U’ : la valeur est saisie au niveau de l’unité de production. Toutes les ressources rattachées en héritent.
‘A’ : la valeur est saisie au niveau du secteur. Toutes les ressources rattachées en héritent.
‘R’ : la valeur est saisie au niveau de la ressource.
‘UAR’ : La valeur peut être saisie sur l’unité de production ou sur le secteur ou sur la ressource. La valeur est lue sur « R », sinon sur « A », sinon sur « U ».
Unité de mesure: Référence unité de mesure.
Valeur Alpha: Valeur alphanumérique défaut.
Valeur Num.: Valeur numérique défaut.
Les actions disponibles sont :
Modification : Permet de modifier le numéro d’ordre, le détail de définition pour les paramètres liés à des ressources, l’unité de mesure pour les paramètres différents des % et la valeur par défaut (Alpha ou Numérique). On ne peut saisir de valeur défaut qu’au niveau 3 de l’arborescence.
Affectations Liées: Liste des affectations liées au paramètre courant.

Saisie Valeurs des paramètres
Lance un tableur permettant de saisir les valeurs des paramètres associés au paramètre courant.
Saisie des Valeurs des Paramètres
Tableur de saisie des paramètres. Les cases grisées ne sont pas saisissables.
Cette action peut être lancée depuis les trois niveaux.
Au premier niveau, le tableur présente tous les liens paramètres affectations de la simulation.
Au second niveau, le tableur présente les liens paramètres affectations du type de nature courant.
Au troisième niveau, le tableur présente les liens paramètres affectations de la nature analytique.
Au quatrième niveau, le tableur présente les liens paramètres affectations de l’affectation.
Au cinquième niveau, le tableur présente le paramètre et l’affectation.
Depuis la liste des paramètres (caractéristique des paramètres), le tableur présente les affectations liées au paramètre courant.

Remarque : sur les paramètres de base IsCsaPriTy et ISSstPriTy une aide permet de sélectionner une des valeurs suivantes :

Valeurs Possibles | Comportement |
Dernier DPAC (0) | Récupère le dernier DPAC du Composant. |
Dernier PUMP Comptable (1) | Récupère le PUMP calculé pour le composant lors de la dernière clôture mensuelle comptable. |
Dernier PUMP Stock (2) | Récupère le dernier PUMP Stock. |
PUMP Stock à Date (3) | Récupère le PUMP stock connu à la date saisie sur l’entête simulation (zone ‘Date Application’ de l’onglet ‘Prix’) |
Sur Simulation (4) | Récupère le coût du composant avec la décomposition analytique associée calculé pour la simulation saisie sur l’entête simulation (zone ‘Simulation’ de l’onglet ‘Prix’). |
Sur Budget (5) | Récupère le coût unitaire du composant avec la décomposition analytique associée calculé pour le budget saisi sur l’entête simulation (zone ‘Budget’ de l’onglet ‘Prix’). |
Sur Réalisé (6) | Récupère le coût unitaire du composant avec la décomposition analytique associée calculé pour le réalisé saisi sur l’entête simulation (zone ‘Réalisé’ de l’onglet ‘Prix’). |
Tarif Donné (9) | Récupère le coût du composant défini sur le tarif donné saisi sur l’entête de la simulation (zone ‘Tarif Composant’ de l’onglet ‘Prix’). La date d’application du tarif est celle saisie sur l’entête de simulation (zone ‘Date Application Tarifs’ de l’onglet ‘Prix’). |
Requête PR1 | Le tarif est donné par la requête RP1 sélectionnée. Cette requête reçoit en contexte : PRV-CTX : contient ‘CRV’ PrvSimRef : contient la référence simulation PrvSimDatApp : Date application des tarifs saisie sur l’entête de la simulation. PrvSimCsaDatPri : Date application des prix des composants saisie sur l’entête de la simulation. GenRefTypeCse : Type du composé calculé. GenRefCse : référence du composé calculé. GenOriPrin : Origine principale du composé calculé. LanSerFabOF : référence OF (Valorisation à l’OF pour les produits fabriqués) AppNumCom : Numéro de commande Fournisseur (Valorisation à l’OF pour les produits sous-traités ou approvisionnés) AppNumLig : Numéro de ligne Fournisseur (Valorisation à l’OF pour les produits sous-traités ou approvisionnés). TypDon : (LG : lignes de Gestion ou LD : lignes de Devis ou LC : lignes de Commandes) utilisé lors du calcul du coût de revient d’une ligne de commande, d’un besoin de gestion ou d’un Devis. GenRefTypeCsa : Type Composant GenRefCsa : Référence Composant QTE : Quantité de lien de nomenclature UME : Unité de mesure de lien de nomenclature REBUT : Taux de rebut du lien de nomenclature Rappel : dans la requête RP1, ces différentes informations peuvent être récupérées par la fonction DIALOG VAL-PARAM-PRIX). |
Remarque : les valeurs possibles contenues dans l’aide dépendent du paramétrage défini sur l’entête de la simulation (exemple : si pas de simulation renseignée sur l’entête de la simulation (zone ‘Simulation’ onglet ‘Prix’, la valeur ‘4 : sur simulation’ ne sera pas présente dans l’aide).
Traitement de Calcul Coûts de Revient
Calcul Coûts de Revient sur Articles
Ce calcul est lancé depuis les simulations de type articles standards ou bien besoins de gestion.
Il s’agit du traitement DIAPASON PRV-CAL. Ce calcul peut être lancé soit en interactif soit en batch.
Lors du lancement la fiche critère suivante est présentée.

Simulation: Référence simulation à calculer. Non saisie si calcul lancé depuis la liste des simulations.
Type calcul: Type de calcul :
Calcul re génératif : calcul complet pour les articles sélectionnés. Le calcul est forcé (même si un calcul a déjà eu lieu pour la simulation)
Calcul par Ecart : seul les articles sélectionnés sont calculés. Les articles valorisés lors d’un précédent calcul ne sont pas pris en compte. Ce type de calcul n’est pas possible pour les consolidations valorisation à l’OF.
Calcul par écart et re-calcul composants : principe identique au calcul par écart à l’exception des composants rencontrés pour chacun des articles calculés. Ces derniers seront recalculés même si ils avaient été valorisé lors d’un précédent calcul.
Test : calcul lancé en Test, les résultats ne sont pas enregistrés dans la base de données.
Non saisie, si calcul lancé depuis la liste des simulations et initialisé suivant l’action lancée.
Mode sélection (Articles à calculer): Permet de choisir un mode de sélection des articles à calculer :
Soit manuellement ,
Soit à partir d’une liste d’articles Standards,
Soit à partir d’un critère d’extraction sur les articles standards,
Soit à partir d’une requête REB (remplir la liste standard WfEntSel tel que WfEntSel.TEn = 'ART' et WfEntSel.Cl1 = Type Article et WfEntSel.Cl2 = référence article)
Soit à partir d’un environnement quantités.
Articles (A calculer): Sélection des articles à calculer dans le cas sélection manuelle.
Critère: Saisie si le mode de sélection est différent de manuel. Contient suivant le cas soit une référence de liste d’articles, soit un critère d’extraction d’articles, soit une requête REB, soit une référence environnement quantités de type coût de revient. Idem pour le volet de sélection des articles tracés. Ce volet n’est actif que si la simulation autorise une traçabilité partielle, sinon la zone ‘Mode sélection’ contient la valeur ‘Tous les Articles sont Tracés’
Fabrication: Requête de type REB permettant de sélectionner les ordres de fabrication à consolider. Le tableau ci-dessous présente les contextes d’exécution de la requête.
Contexte en Entrée | Contexte en Sortie |
SCR.PrvSimRef = Référence simulation SCR.CriCle = ‘HIS-OF’ SCR.CriDatDeb = Date début (PrvSiEnt.PrvSimDatTypDeb) SCR.CriDatFin = Date fin (PrvSiEnt.PrvSimDatTypFin) | WFEntSel avec : Ten = ‘HIS-OF’ Cl1 = OF Nu1 = Quantité |
Cette requête a pour but de sélectionner les OFs à consolider mais aussi d’initialiser la quantité dont le calcul devra tenir compte. Si la quantité n’est pas initialisée, elle sera considérée nulle pour le calcul.
Exemple de requête :

Réception:
Requête de type REB permettant de sélectionner les ordres d’approvisionnement à consolider. Le tableau ci-dessous présente les contextes d’exécution de la requête.
Contexte en Entrée | Contexte en Sortie |
SCR.PrvSimRef = Référence simulation SCR.CriCle = ‘HIS-REC’ SCR.CriDatDeb = Date début (PrvSiEnt.PrvSimDatTypDeb) SCR.CriDatFin = Date fin (PrvSiEnt.PrvSimDatTypFin) | WFEntSel avec : Ten = ‘HIS-REC’ Cl1 = Commande Cl2 = BL Cl3 = Ligne Nu1 = Quantité |
La requête de sélection suit les mêmes règles que la requête de sélection des OFs.
Calcul Valorisation à l’OF
Ce calcul est lancé depuis les simulations de type Ofs.
Il s’agit du traitement DIAPASON VAL-OF. Ce calcul peut être lancé soit en interactif soit en batch.
Lors du lancement la fiche critère suivante est présentée.
Onglet « Paramétrage Calcul »

Date Début: Date de Début de prise en compte des historiques de déclaration de fabrication et de réception d’approvisionnement.
Date Fin: Date de Fin de prise en compte des historiques de déclaration de fabrication et de réception d’approvisionnement. Si l’une des deux dates est laissée vide, alors le traitement s’effectuera depuis la dernière date de valorisation prise en compte.
Requête Sél. OFs: permet d’indiquer la requête DIALOG de type REB qui sera exécutée lors du calcul de valorisation pour sélectionner les OFs (ordres de fabrications) à prendre en compte. Si la requête n’est pas définie, DIAPASON considère tous les OFs qui ont une déclaration entre les deux dates du critère.
Le contexte en entrée d’exécution de la requête est le suivant :
SCR.PrvSimRef : contient la référence de la simulation.
SCR.CriCle : contient la valeur « HIS-OF »
SCR.CriDatDeb : contient la date de début saisie en critère
SCR.CriDatFin : contient la date de fin saisie en critère
Le contexte en sortie d’exécution doit être le suivant :
la liste WfEntSel doit être initialisée ; chaque élément (enregistrement) de la liste WfEntSel correspond à un OF ; les caractéristiques suivantes doivent être initialisées :
TEn : doit contenir la valeur « HIS-OF »
Cl1 : doit contenir la référence OF à considérer
EntNu1 : doit indiquer la quantité d’OF qui doit être prise en compte.
Requête Sél. Réc.
Permet d’indiquer la requête DIALOG de type REB qui sera exécutée lors du calcul de valorisation pour sélectionner les lignes de réceptions à prendre en compte. Si la requête n’est pas définie, DIAPASON considère toutes les réceptions d’approvisionnement entre les deux dates du critère.
Le contexte en entrée d’exécution de la requête est le suivant :
SCR.PrvSimRef : contient la référence de la simulation.
SCR.CriCle : contient la valeur « HIS-REC »
SCR.CriDatDeb : contient la date de début saisie en critère
SCR.CriDatFin : contient la date de fin saisie en critère
Le contexte en sortie d’exécution doit être le suivant :
la liste WfEntSel doit être initialisée ; chaque élément (enregistrement) de la liste WfEntSel correspond à une ligne de réception d’approvisionnement; les caractéristiques suivantes doivent être initialisées :
TEn : doit contenir la valeur « HIS-REC »
Cl1 : doit contenir le numéro de commande fournisseur à considérer
Cl2 : doit contenir le numéro de bordereau de livraison du fournisseur à considérer
Cl3 : doit contenir le numéro de ligne de commande fournisseur à considérer
EntNu1 : doit indiquer la quantité d’OF qui doit être prise en compte.
Reprise des Erreurs
Indique si on recalcule ou non les Ofs présentant des erreurs lors d’un précédent calcul.
Relance déjà Réalisé
Indique si l’on recalcule les Ofs déjà calculés.
Méthode (pour Récursivité): Indique le principe de recherche de coût de revient des composants de gestion fabriqué. Le calcul du coût de revient de l’OF s’effectue en cumulant le prix des composants de gestion pour la partie nomenclature. La nomenclature de gestion de l’OF peut présenter des composants de gestion fabriqués. Il convient alors d’indiquer comment récupérer leur coût de revient. Deux méthodes peuvent être indiquées :
0 : Défaut DIAPASON. Le principe est de récupérer, pour un composant de gestion fabriqué, son coût de revient stocké lors du dernier calcul de valorisation connu pour ce composant. Si aucun prix n’est trouvé, alors le prix est éventuellement rechercher par rapport à la méthode 1.
1 : par simulation. Le prix du composant de gestion fabriqué est recherché par rapport à la simulation indiquée dans le critère Simul/Recur.
Simulation (pour Récursivité): Simulation pour récursivité sur coût de revient composants de gestion fabriqués. Indique la simulation de recherche des coûts de revient des composants de gestion fabriqués..
Type Paramétrage : Méthode de calcul du coût de revient pour l’OF. Indique à partir de quel environnement sera réalisé le calcul de coût de revient pour les OFs :
0 : Par Paramétrage Valorisation /OF. Lors du traitement d’un OF, DIAPASON recherche si un environnement de calcul par Entité est défini pour une date inférieure ou égale à la date de déclaration de l’OF. Le calcul de coût de revient sera alors réalisé à partir de cet environnement. (Voir Paramétrage Valorisation / OFs).
1 : Par Simulation. Le calcul de coût de revient s’effectue à partir des caractéristiques de la simulation et pour le type de calcul indiqués par la suite..
Type Calcul: Type de calcul à utiliser dans le cas d’un paramétrage de valorisation par OF. Ce type de calcul n’est proposé que si le paramètre général PRV-PAROF n’est pas coché. (Voir Paramétrage Valorisation / OFs).
Simulation: Référence Simulation à utiliser dans le cas d’un paramétrage à partir d’une simulation.
Onglet « Articles à Traiter »

Articles Standards: Calcul des Ofs correspondants à des articles standards.
Articles à la Commande: Calcul des Ofs correspondants à des articles à la commande.
Articles Approvisionnés: Prise en compte des réceptions fournisseur correspondants à des articles approvisionnés.
Articles Sous-Traités: Prise en compte des réceptions fournisseur correspondants à des articles sous-traités.
Articles Début: La sélection des articles commence à cet article.
Articles Fin: La sélection des articles se termine à cet article.
Liste Articles: Sélection à partir d’une liste d’articles.
Critère Articles: La sélection des articles se fait par rapport à un critère.
Environnement Qtés: La sélection des articles se fait à l’aide d’un environnement quantités.
Requête: La sélection des articles se fait par requête REB.
Actions disponibles

Modification Simplifiée
Cette action est similaire à l’action de modification à ceci près que l’onglet ‘Env.Calcul’ n’est modifiable qu’au niveau des dates début et fin période.
Création Simulation / Modèle
Ce mode de création a pour effet de dupliquer la simulation à partir des caractéristiques du modèle choisi. La simulation créée va hériter de la définition de ce modèle ainsi que de sa structure.
Architecture Simulation
Action permettant de définir la structure (décomposition analytique, affectations, paramètres ...) de la simulation.
Paramétrage Terminé
Permet à l’utilisateur d’indiquer que son paramétrage est terminé. Cette action est disponible uniquement sur les simulation pour lesquelles le flag ‘Gestion Statut Auto’ (Onglet Définition) n’est pas coché.
Le fait de pas lancer cette action n’est pas bloquant, le calcul renverra un warning indiquant que le paramétrage n’est pas terminé.
Liens Affectations / Natures Analytiques
Cette action présente une liste de tous les liens (cas d’emplois) affectations / natures analytiques définis dans la structure de la simulation courante.

Saisie Valeurs des Paramètres
Cette action a pour but de lancer l’application de saisie des valeurs de paramètres de façon globale (correspond à lancer cette action depuis le niveau 1 dans la définition de la structure de la simulation). Le tableur présente en colonne tous les paramètres impliqués dans la simulation courante et en ligne toutes les affectations. Les cellules grisées ne sont pas saisissables.
Remarque : Le paramètre utilisateur PRV/SAI-PAR/EXCEL permet d’indiquer que l’accès au tableur de saisie des valeurs des paramètres se fait dans Excel© et non dans le tableur ISIA. La saisie via Excel© ne comporte aucune intégrité, elle rend plus rapide la saisie des valeurs.

Remarque : sur les paramètres de base IsCsaPriTy et ISSstPriTy une aide permet de sélectionner une des valeurs suivantes :

Valeurs Possibles | Comportement |
Dernier DPAC (0) | Récupère le dernier DPAC du Composant. |
Dernier PUMP Comptable (1) | Récupère le PUMP calculé pour le composant lors de la dernière clôture mensuelle comptable. |
Dernier PUMP Stock (2) | Récupère le dernier PUMP Stock. |
PUMP Stock à Date (3) | Récupère le PUMP stock connu à la date saisie sur l’entête simulation (zone ‘Date Application’ de l’onglet ‘Prix’) |
Sur Simulation (4) | Récupère le coût du composant avec la décomposition analytique associée calculé pour la simulation saisie sur l’entête simulation (zone ‘Simulation’ de l’onglet ‘Prix’). |
Sur Budget (5) | Récupère le coût unitaire du composant avec la décomposition analytique associée calculé pour le budget saisi sur l’entête simulation (zone ‘Budget’ de l’onglet ‘Prix’). |
Sur Réalisé (6) | Récupère le coût unitaire du composant avec la décomposition analytique associée calculé pour le réalisé saisi sur l’entête simulation (zone ‘Réalisé’ de l’onglet ‘Prix’). |
Tarif Donné (9) | Récupère le coût du composant défini sur le tarif donné saisi sur l’entête de la simulation (zone ‘Tarif Composant’ de l’onglet ‘Prix’). La date d’application du tarif est celle saisie sur l’entête de simulation (zone ‘Date Application Tarifs’ de l’onglet ‘Prix’). |
Requête PR1 | Le tarif est donné par la requête RP1 sélectionnée. Cette requête reçoit en contexte :
|
Remarque : les valeurs possibles contenues dans l’aide dépendent du paramétrage défini sur l’entête de la simulation (exemple : si pas de simulation renseignée sur l’entête de la simulation (zone ‘Simulation’ onglet ‘Prix’, la valeur ‘4 : sur simulation’ ne sera pas présente dans l’aide).
Saisie des valeurs des paramètres par Excel©
Fonctionnalité disponible depuis l’application de définition des coûts de revient uniquement.
Un paramètre utilisateur permet d’indiquer que l’accès au tableur de saisie des valeurs des paramètres se fera dans Excel© ou non (par défaut, saisie dans tableur ISIA).

Nota : La saisie via Excel© ne comporte aucune intégrité, elle rend plus rapide la saisie des valeurs.
Résultats Calcul Simplifiés
Cette action permet d’accéder à la liste des résultats simplifiée de la simulation courante.
Résultats Calcul Détaillés
Cette action permet d’accéder à la liste des résultats détaillée de la simulation courante.
Erreurs de Calcul
Cette action présente la liste globale des erreurs issues du calcul pour la simulation courante.
Cette action n’est disponible que si un calcul a été effectué. Cette liste présente les erreurs générales ainsi que les erreurs par article.

Test Calcul Coûts de Revient
Cette action a pour but de simuler un calcul. Une fois la simulation terminée, la liste des résultats détaillée s’affiche à l’écran et permet de les contrôler.
Cette action est très utile pour vérifier le paramétrage tant au niveau de la simulation qu’au niveau des articles.
Calcul Coûts de Revient
Action de lancement du calcul.
Calcul Coûts de Revient / Ecart
Permet, suite à un calcul effectué et pour lequel certains résultats sont incohérents, de relancer le calcul que pour ces articles